Sitemap
Ihr Warenkorb
0
Artikel | €
0,00
Homepage
Homepage
Sitemap
Über uns
Über uns
Zertifizierte Qualität
Wissenswertes
Wissenswertes
Magnetismus
Dauermagnet
Magnetische u. physikalische Werte
Magnet-Dimensionierung
Flussdichteberechnung
Quadermagnete
Rundmagnete
Magnetwerkstoffe
Hochenergie Magnete
Andere Magnetwerkstoffe
Haftmagnet-Info
News
Produkte / Shop
Produkte / Shop
Dauermagnete
DeltaMagnet (SmCo)
NeoDeltaMagnet (NdFeB)
NeoAlphaMagnet (NdFeB, kunststoffg.)
AlphaMagnet (SmCo, kunststoffg.)
Hartferrit-Magnete (SrFe)
AlNiCo 500 - Magnete
Betaflex (Magnetgummi)
Haftmagnete
Haftmagnetscheiben (Hartferrit)
Haftmagnetscheiben (mit Mittelloch)
Haftmagnetscheiben (SmCo und NdFeB)
Haftmagnete mit Gummiüberzug
Haftmagnet-Greiferstäbe (wasserdicht)
Haftmagnet-Greiferstäbe
Haftmagnet-Greiferstäbe (SmCo, NdFeB)
Haftmagnetscheiben mit Senkschrauben-Mittelloch
Topfmagnete
U-Magnete
Einbau-Haftmagnete
Magnete in Kunststoff-Gehäuse
Haftmagnet-Leisten
Magnet-Kugelgelenke
Miniatur-Haftmagnete
Organisationsmagnete
Elektrohaftmagnete
Haftmagnete, elektrische Abschaltung
Elektro-Haftmagnete
Miniatur-Elektro-Haftmagnete
Spreizmagnete
Spreizmagnete für Stahlblechplatten
Eisenseparierung
Dauermagnetblöcke
Filterstäbe, Magnetgitter, Magnetleisten
Fangmagnetstab
Handhabungsmagnet
Diverse
Betaflex-Magnetbänder
Betaflex-Magnetfolien
Magnetfeld-Sensor
Magnetfeld-Sensorfolie
OfficeClip
Service & Hilfe
Service & Hilfe
Allgemeine Informationen
Infos zum Versand
Anfrageformular
Generelle Vertriebsinfo
Info für Kunden im Ausland
Beschichtunsoptionen
Download-Center
Flussdichte
Quadermagnete
Rundmagnete
Impressum
Impressum
Allgemeine Geschäftsbedingungen
Datenschutz
Kontakt
Kontaktformular
So finden Sie uns
IBS Magnet - Magnetische Flußdichteberechnung für Rundmagnete
Wissenswertes
Magnetismus
Dauermagnet
Magnetische u. physikalische Werte
Magnet-Dimensionierung
Flussdichteberechnung
Quadermagnete
Rundmagnete
Magnetwerkstoffe
Hochenergie Magnete
Andere Magnetwerkstoffe
Haftmagnet-Info
Sie befinden sich hier:
Homepage
Wissenswertes
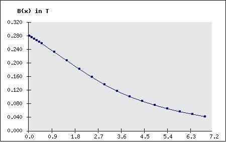
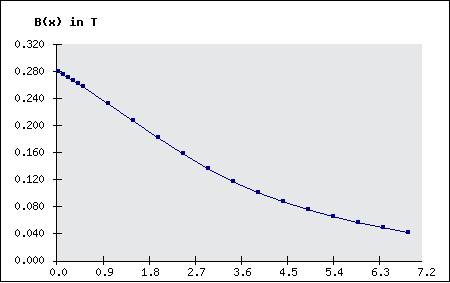
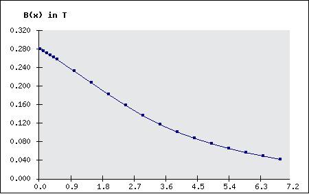
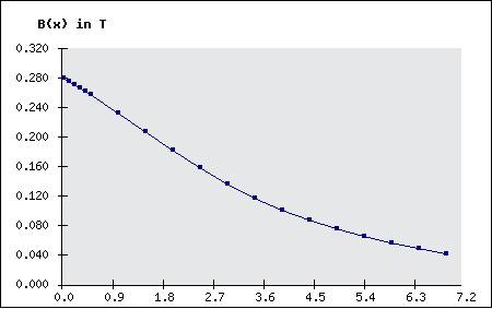
Magnetische Flußdichteberechnung
Bitte setzen Sie für Br wie folgt ein:
NeoDeltaMagnet
1.100 mT (1,1T)
DeltaMagnet
1.000 mT (1,0T)
NeoAlphaMagnet
700 mT (0,7T)
AlphaMagnet
600 mT (0,6T)
Hartferrit
400 mT (0,4T)
Zu Quadermagneten wechseln
Br
in T
Durchm.
in mm
Länge in mm
Radius
in mm
Abstand x
in mm
B(x) in T
5,0
Startwert:
0,283
0,1
0,279
0,2
0,274
0,3
0,270
0,4
0,265
0,5
0,261
1,0
0,236
1,5
0,210
2,0
0,185
2,5
0,161
3,0
0,140
3,5
0,121
4,0
0,104
4,5
0,090
5,0
0,077
5,5
0,067
6,0
0,058
6,5
0,051
7,0
0,044
Neu berechnen